Este trabalho tem como objectivo informar o leitor sobre o que são e como
funcionam os sistemas de comunicação óptica baseados em fibras ópticas.
Começa-se por descrever a
sua evolução histórica, constituição, o modo de funcionamento, e os modos de
propagação permitidos.
Em seguida é abordada a os esquemas de modulação
utilizados nas fibras bem como multiplexagem
de canais de comunicação analisando
vários sistemas usados actualmente.
Descreve-se depois, e
embora sucintamente, o sistema de comunicação óptica sem fios.
Por fim são enunciadas as
principais vantagens e as desvantagens na utilização das fibras ópticas em
relação aos condutores eléctricos.
Em 1870, John Tyndall demonstrou que um feixe de luz podia ser guiado,
por reflexão interna, num jacto de água vindo de um orificio
de um balde para outro recipiente. Verificou-se que o feixe de luz seguiu uma
trajectória em Zig-Zag dentro do "tunel" formado pelo jacto de água. Esta experiência
marcou o primeiro passo na pesquisa da propagação guiada da luz.
Em 1880, William Wheeling patenteou o método de "canalização da
luz" usando tubos espelhados, mas a sua ideia foi posta de parte devido à
concorrência por parte da lâmpada de Edison. Nesse
mesmo ano, Alexander Graham
Bell, desenvolveu um sistema de transmissão óptico de
voz, denominado por Fotofone, que usava um feixe
luminoso em espaço livre para transmitir um sinal de voz a uma distância de
200m.
No entanto, foi apenas na 2ª metade do século 20, que
a tecnologia por trás dos sistemas de comunicação óptica viu progressos significativos,com um sistema de
transmissão de imagens usando fibra de vidro, desenvolvido concorrentemente por
Brian O'Brien na "Americal optic Company" e por Narinder Kapany (que inventou o termo "fibras ópticas" em
1956) e colegas no "Imperial College of Science and
Technology" em Londres. As primeiras fibras de
vidro sofriam perdas ópticas excessivas, limitando o uso a transmissões a curta
distância(). A situação melhorou ,
quando se introduziu a camada exterior ao núcleo, a baínha,
que impedia que a luz "escapasse" do núcleo, diminuindo
significativamente as perdas.
O desenvolvimento do laser foi o próximo passo
importante para o estabelecimento da indústria das fibras ópticas. Em 1957, Gordon Gould descreveu o laser
como uma fonte intensa de luz, popularizando o uso do laser.
Em 1966 Charles H. Kao e george A. Hockman sugeriram o
emprego de fibras ópticas como meio de transmissão do sinal óptico proveniente
de um laser se a sua atenuação fosse inferior a 20 dB/km.
No entanto a atenuação então produzida pela fibra era bastante elevada (da
ordem dos 1000 dB/km) e não competitiva face a outros
meios de transmissão. Na altura chegou-se à conclusão que os valores de
atenuação observados se deviam a impurezas no vidro.
Em 1970 a Corning Glass Works consegue produzir fibras de núcleo homogéneo
com atenuação inferiores a 20 dB/Km
na risca de lambda=633 nm.
As fibras ópticas
foram-se aperfeiçoando ao longo dos anos oitenta, numa série de gerações que
estão ligadas a um comprimento de onda central, e uma vizinhança ou janela, as
"windows" na figura em baixo:

Figura 0- As 4 regiões de comprimento de onda de atenuação mínima vs atenuação correspondente.
Numa primeira geração, no ínicio
dos anos 80, funcionavam com um comprimento de onda de aproximadamente 850 nm(tirando
partido da 1ª janela),com perdas da ordem dos 3.5 dB/km,
dado que a tecnologia dos LED's para essa gama de
comprimentos de onda já estava desenvolvida.
À medida que a tecnologia
dos LED's evoluiu, novas gamas de comprimentos de
onda passaram a ser acessíveis, e muitas companhias passaram a funcionar na 2ª
janela, nos 1310 nm, com atenuações de 0.5 dB/km.
Entretanto em 1977 tinha sido desenvolvida a 3ª janela(comp. onda~1550 nm), que oferecia um limite mínimo de atenuação de 0.2 dB/km. Actualmente está em estudo uma 4ª janela(comp. onda~1625 nm) que
oferece atenuações semelhantes às da 3ª, e existem sistemas que funcionam com
comprimentos de onda correspondentes às varias janelas (850,1310,1550 nm).
3-Constituição
e modo de funcionamento das fibras ópticas![]()
Fibras ópticas são longos e finos cilindros de vidro (materiais dieléctricos) , da espessura de um cabelo humano ,usados
para transmitir informação através de longas distâncias.
A constituição de uma
fibra óptica é a seguinte.

Corresponde portanto a um guia de onda dieléctrico de secção circular
constituído por um meio interior (núcleo) e rodeado por um meio exterior
designado por bainha.
Estas unidades são
frequentemente agrupadas em agregados, chamados cabos ópticos, que depois são
revestidos por uma cobertura que os protege do exterior, com ou sem fibras de
reforço, e com camada externa de plástico, como o exemplo da figura 2.

Figura 2-Cabo óptico
A informação é transmitida no núcleo através de
sinais de luz que o percorrem .Para iniciar a
transmissão é usado um conversor que transforma impulsos de tensão na linha de
entrada num feixe laser, que é direccionado para o interior da fibra(núcleo).

Figura 3-Esquema de transmissão de sinal eléctrico usando fibra óptica
O princípio de funcionamento é o fenómeno físico denominado reflexão total
da luz . Para que haja reflexão total a luz deve sair
de um meio com um índice de refracção maior (núcleo) para outro com um índice
de refracção menor(baínha),e
o ângulo de incidência deve ser maior ou igual ao ângulo limite(também chamado ângulo de Brewster).
O
feixe laser de entrada é assim guiado pelas paredes do núcleo(fronteira
núcleo-baínha) através da a fibra, até ao fim desta
onde um receptor reconverte a radiação electromagnética num sinal eléctrico.
Existem três tipos de fibras tradicionais que se distinguem
pelo perfil transversal dos índices de refracção e pelas dimensões radiais do núcleo .Verifica-se sempre homogeneidade longitudinal e
simetria cilíndrica em todos os tipos de fibras.
As características influenciam o número de modos que
nelas se podem propagar(configuração modal) e a
dispersão dos campos electromagnéticos.
Há dois tipos principais de distribuição transversal
do índice de refracção do núcleo:
-Constante, fibras de núcleo homogéneo (step-index).
-Perfil parabólico, fibras de núcleo não homogéneo(graded-index), que
permite melhorar a resposta da fibra que funciona em regime multimodal.
Nas fibras de núcleo
homogéneo, distinguem-se dois grupos, o mais antigo de fibras que funcionam em
regime multimodal , e o mais recente, com fibras que funcionam em regime monomodal, e que necessitam de núcleos com raio menor, como
apresentado em seguida.

Figura 4-variação
transversal do índice de refracção para cada tipo de fibra.


Figura 5 - tipos de fibras ópticas(dimensões e perfis
correspondentes).
Nas fibras ópticas o ângulo limite é denominado
abertura numérica NA=(n1^2-n2^2)^1/2 ,tipicamente
próximo de 0,2 nas fibras multimodo 50/125
, e é um indicador da capacidade de captação luminosa da
fibra.
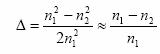
Nas fibras ópticas também é usual definir um outro
parâmetro que é o contraste
:
3.1
Este parâmetro apresenta
normalmente valores na ordem dos 10^-2 ou 10^-3 .
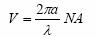
Outra grandeza importante é a frequência normalizada,
designada por V, e relacionada com a abertura numérica pela seguinte fórmula:
3.2
, sendo “a” o raio interior da fibra.
Para uma fibra de núcleo homogéneo o nº de modos que se
propagam na fibra é dado aproximadamente por
3.3
e nas de perfil parabólico é dado por
3.4
Os modos propagam-se longitudinalmente na fibra e têm frequências mínimas
de funcionamento, a frequência mímima de funcionamento
da fibra, a que permite que os primeiros modos degenerados TE01 e TM01 se
transmitam é Vc=2.405. As frequências de corte normalizadas são apresentadas na
tabela seguinte com Vc=
.

Tabela 1-Modos de funcionamento
numa fibra monomodo e suas frequências de corte
Se quisermos que a fibra funcione em regime monomodal, há que diminuir o valor de V, reduzindo o
diâmetro do núcleo (2a), ou aumentando
de modo a que apenas se propaguem os modos degenerados TE01 e
TM01, além do modo HE11. A redução da abertura numérica é problemática porque
reduz a intensidade do sinal óptico introduzido na fibra.
Fibras com NA grande não são úteis do ponto de vista
da comunicação óptica devido à distorção intermodal
(dispersão). Por outro lado a diminuição do raio do núcleo também levanta
problemas na junção de troços de fibra e sua manipulação.
Os modos de propagação condicionam assim as
frequências de trabalho nas fibras ópticas.
4-Dispersão
e atenuação nas fibras![]()
A atenuação na fibra corresponde à redução da
amplitude (diminuição da intensidade da luz) do sinal que nela passa, devido ao
facto de a reflexão não ser total, especialmente devido a impurezas no material , curvas, e imperfeições na junção de troços de
fibra. A atenuação na fibra depende do comprimento de onda e segue uma lei de
variação não linear indicada na figura 0 (ver introdução, onde se fala da
evolução da curvas de atenuação ao longo das ultimas décadas).
Ao transmitir um conjunto de impulsos gaussianos numa fibra unimodal verifica-se que eles
sofrem um espraiamento no tempo, como indicado na
figura 6, tal distorção corresponde ao fenómeno da dispersão.

Figura 6-Espraiamento no
tempo de uma sequencia de impulsos gaussianos
devido à dispersão.
As contribuições para este alargamento são várias e
podem dividir-se em :
-Dispersão intramodal
-Dispersão intermodal
A dispersão intramodal nas fibras ópticas subdivide-se em dispersão material , que é devida à dependência dos índices de
refracção do comprimento de onda, e dispersão estrutural ou do guia, que é
particularmente importante nas fibras monomodo(nas multimodo prevalece a dispersão intermodal)
e resulta da dependência das constantes de propagação no núcleo e no guia de
.

Figura 7- Variação da dispersão intramodal
material e de estrutura em função de
.
A dispersão intermodal é
devida à diferença dos tempos de propagação dos diversos modos na fibra devido
a diferenças de percurso , que pode provocar
diminuição do ritmo de transmissão na fibra, este efeito pode ser reduzido
usando perfis não homogéneos como os referidos acima(figura 4), que diminuem as
diferenças de percurso . Este tipo de dispersão pode ser eliminado utilizando
fibras monomodo.
5-Esquemas
de modulação e multiplexagem usados nas fibras
ópticas![]()
AM- Amplitude Modulation:
Pode funcionar em banda de base ,
ou com portadora de rádio frequência(RF) e, neste ultimo caso, ser de banda
lateral única. Caso seja usado, é necessario efectuar
uma compensação das perdas ópticas, quer tirando partido de alguma propriedade
do sinal transmitido, por exemplo, no sinal de vídeo o pulso de sincronismo não
varia a amplitude com o tempo, podendo ser usado para distinguir perdas ópticas
com variação de amplitude do sinal, ou então usar um sinal em paralelo com uma
amplitude de referência, e com frequência ligeiramente acima ou abaixo da
frequência da informação transmitida. É o sistema de modulação mais barato.
Desvantagens:
-Necessidade de componentes altamente lineares para
prevenir a distorção do sinal que atravessa a fibra, que aumenta o custo.
-Necessidade de compensar a atenuação na fibra para
poder estimar a amplitude do sinal recebido, uso de controlo automático de
ganho no pulso de sincronismo, e uso deste.
FM-Frequency Modulation:
Uso de uma portadora de alta
frequência, em que a informação é transmitida a partir de uma variação
de frequência da portadora dependendo da amplitude do sinal de entrada, facto
que o torna menos vulnerável às variações de amplitude que constituem as perdas
ópticas. Os sistemas FM têm também uma melhor relação sinal ruido
que os sistemas AM.
Para eliminar a necessidade de componentes altamente lineares(necessários na transmissão usando AM), sistemas de
comunicação óptica usam uma técnica denominada PFM("pulse frequency modulation"), na
qual o sinal é digitalizado antes de ser transmitido ao longo da fibra.
Desvantagens:
-Circuitos mais complicados que no AM acabam por
compensar o que se poupava nos componentes ópticos, tornando o sistema mais
caro.
Digital Modulation:
Esta modulação requere uma
conversão do sinal de entrada, analógica para digital PCM (pulse code modulation), que portanto
modula a fonte de luz. Das variantes do PCM, destacam-se os sinais PAM, DM,
ADM, PSK e o DPSK. O PCM involve o sequenciamento de pulsos (ou de um código) para representar
uma porção do sinal. Os canais de transmissão são multiplexados por divisão no
tempo e são enviados para o transmissor de laser.
Ao contrário das transmissões analógicas, a
transmissão digital não é tão afectada pela distância, ruído do emissor de luz
ou distorção. Além disso, este tipo de modulação não requer o uso de um emissor
de laser linear, permitindo o uso de componentes mais baratos.
Desvantagens:
-Circuitos digitais mais complicados que os
analógicos aumentam o custo do sistema em relação a sistemas que recorram a AM.
Na tabela seguinte(tabela 2) é feita a comparação entre os diferentes
tipos de modulação usadas em sistemas de transmissão por fibra óptica.

Tabela 2-Comparação entre
diferentes tipos de modulação
Multiplexagem de
canais em fibras ópticas:
A multiplexagem é uma
técnica que permite enviar várias mensagens distintas através do mesmo canal de
transmissão simultaneamente.
Existem dois tipos básicos de multiplexagem
de canais numa fibra, TDM (time division
multiplexing), e FDM ( frequency division multiplexing ), que podem ser usados simultaneamente.
Nas fibras ópticas, a multiplexagem
por divisão do comprimento de onda WDM, (wavelength division multiplexing), que
corresponde a FDM, permite o aumento da largura de banda num sistema de
comunicação e é amplamente usada. Esta tecnologia baseia-se no facto das fibras
ópticas poderem transportar vários comprimentos de onda de luz simultaneamente
(canais), sem haver interacção entre dois comprimentos de onda.
Para se usar a multiplexagem,
a fibra óptica deve ter, para comprimentos de onda de 1530 a 1570 nm ,
poucas perdas. Também se requere um amplificador
apropriado como, por exemplo, EDFA (erbium doped fiber amplifier)
a cada 100km de distância na comunicação para minimizar as perdas na
transmissão (atenuação e dispersão). Outro aspecto a ter em conta é o facto do
laser no emissor emitir luz com um único comprimento de onda. Portanto o emissor emite um
laser para cada canal de transmissão,
estando os sinais espaçados nos 50, 100 ou 200 Ghz ao
longo da banda de 1530 a 1570 nm de ganho dos EDFA's (que tem uma largura de banda na frequência de ~5 THz) . O
multiplexer juntamente com filtros
apropriados permite combinar os diferentes comprimentos de onda numa fibra
única. No final da transmissão usa-se um Demultiplexer
para separar os diferentes sinais de luz, que posteriormente são convertidos
novamente em electricidade no receptor, que geralmente é constítuido
por fotodíodos PIN e electrónica apropriada fazendo a
interface com o computador ou rede electrónica.
Todos estes elementos combinados permitem o envio de
informação via fibras ópticas.Todavia devido à
redundância, custo ou mesmo capacidade dos sistemas, as redes ópticas são
desenvolvidas com a capacidade de direccionar canais ( routing)
em percursos múltiplos até atingirem o destino final, utilizando Multiplexers “Add/Drop” que acrescentam/removem determinados comprimentos de
onda do agrupamento que se encontra numa fibra óptica, permitindo a um sistema
com WDM ter uma topologia de rede desejada. Utiliza-se também interruptores
ópticos que permitem o reencaminhamento dos diferentes canais, tendo em vista a
conversão mínima da luz novamente em electricidade, mantendo a distribuição da
informação o máximo possível no domínio óptico.

Figura 8- Exemplo de um sistema DWDM (dense
wavelength division multiplexing), que é equivalente ao WDM.
No exemplo acima(figura 8), cada canal de entrada
possui uma frequência(e, consequentemente, comprimento de onda) distinta, os
quatro canais são convertidos de tensão eléctrica para feixe óptico e enviados para o multiplexer
Dwdm, que os transmite em paralelo na fibra, que como
tem uma ligação longa(>100 km) possui um amplificador óptico EDFA entre
emissor e receptor.
6-Considerações
de desenho de sistemas de comunicação óptica usando fibras ópticas![]()
A tabela seguinte(tabela 3) apresenta factores a ter em conta no
dimensionamento de um sistema de comunicação óptica.

Tabela 3-Factores a ter
em conta num sistema de comunicação óptica.
Dentro dos factores apresentados, o que predomina é a
distância. Apesar disso, os factores estão interligados, por exemplo: a
distância afecta a potencia recebida, que por sua vez influencia a escolha da potência
do emissor, que afecta também o tipo de fibra a usar e a modulação mais
conveniente.
A sensibilidade no receptor determina a potência
requerida mínima de forma a atingir a performance desejada (Probabilidade de
erro de bit). Tem em conta o ruído no emissor, na fibra e no receptor, bem como
a interferência intersimbólica, o Jitter
(no tempo).
Outro factor a ter em conta é o que se relaciona com
as condições ambientais. A temperatura afecta componentes de transmissão como
os LEDs ou lasers bem como a própria fibra. Na
concepção das instalações devemos ter em conta as radiações EM, os incêndios, a
própria escolha dos cabos entre outros.
O custo das componentes pode também vir a influenciar
a projecção do sistema. Deve-se sempre obter a melhor relação qualidade-custo que passa pela obtenção da melhor
performance com o menor custo possível.
Desenhar um destes sistemas é tarefa complicada, uma das técnicas usadas é
o balanço de perdas ópticas, descrito em seguida.
Balanço de perdas ópticas:
Este balanço consiste na análise da potência de saída
do emissor, seguida da influência de factores do meio e do sistema, de modo a
avaliar se a potência recebida no receptor está dentro dos seus limites de
sensibilidade.

Figura 7-Ligação hipotética
e o seu balanço de perdas ópticas
O gráfico acima mostra uma ligação hipotética e o seu
balanço de perdas ópticas, começando pela saída do emissor do lado esquerdo, o
valor de -12.5dBm é um valor típico de potência no emissor.
No entanto, o LED do
transmissor pode variar +/-2dBm devido a variabilidade no fabrico do próprio
LED. Por conseguinte, a saída pode estar entre -10.5 dBm
e -14.5 dBm, como é apresentado no bloco a vermelho.
De seguida é contabilizada a variação da gama de valores da potência recebida
para os restantes parâmetros, o valor da atenuação devida à distância("Fiber loss" na figura 6) é
obtido multiplicando comprimento da ligação pelo valor a branco na figura 7 e
na coluna correspondente.
Contabilizados todos os efeitos do modelo obtém-se a
gama de potência recebida, e assim sabe-se qual a gama de potências a que o
receptor deve ser sensível.
Como a atenuação é reduzida, o que condiciona o uso
de repetidores/regeneradores ópticos é a dispersão (não linearidades da fibra)
em ligações de longa distância ( >100 km).
Repetidores/regeneradores:
Os repetidores nos sistemas de comunicação óptica
servem para aumentar a distância possível entre estações e são tipicamente
colocados de 100 em 100 km, feitos à base de semicondutores (SOA-semiconductor optical amplifiers).
Dos repetidores SOA destacam-se os EDFA(erbium doped fiber amplifier) , desenhados
para amplificar comprimentos de onda próximos de 1550 nm
com uma banda de 1530 a 1570 nm (que corresponde a
uma largura de banda na frequência de ~5 THz).
Padrões (standards):
Quando se projecta um determinado sistema de
telecomunicações, deverá se promover também a compatibilidade e a
inter-operação com outros sistemas, seguindo determinados padrões (standards)
que são suportadas pela ITU-T (International Telecommunication Union - Telecommunication).
Nas fibras ópticas
estes padrões dividem-se nas seguintes áreas:
-metodologias para
componentes activas e passivas dos sistemas ;
-metrologia e
calibração;
-interface de
sistemas;
-especificações dos
sistemas e seus componentes;
-performance e
fiabilidade;
-guias de design de
sistemas;
-terminologias e
simbologias.
7-Exemplos
de sistemas de comunicação óptica usando fibras ópticas![]()
Transmissão
de dados
SDH (Sonet)
SDH
(synchronous digital hierarchy) é um standard international para transmissão síncrona de dados para um
ritmo máximo de cerca de 40 Gb/s.
A rede SDH define os níveis da portadora óptica e os seus equivalentes
eléctricos, denominados por sinais de transporte síncrono STS. O primeiro passo
envolve a multiplexagem múltipla de sinais, gerando o
sinal de nível mais baixo (STS-1). A sua portadora é denominada por OC-1, que
transmite a um ritmo de aproximadamente 52 Mb/s. Os
restantes sinais operam de 155 Mb/s até 40 Gb/s.
Os elementos básicos que compõem
este sistema são o multiplexer (no terminal),
regenerador (para transmissões a longa distâncias), multiplexer
“add/drop” (para
configurações locais) e conectores digitais.
Esta técnica de multiplexagem apresenta como principal vantagem face aos
sistemas assíncronos, a simplificação na temporização (introdução do
sincronismo) que reduz a complexidade dos circuitos e o custo.

Figura 8.- Rede SDH com a
configuração de Hub. A ligação em Hub
permite uma maior flexibilidade no sistema, permitindo a convergência com
outros protocolos como o ATM( asynchronous
transfer mode), protocolo de
Internet, etc.
Configurações
de sistemas de vídeo/áudio multi-formato (analógicas e digitais)
Incorporando
a tecnologia da multiplexagem, aplicações bidireccionais para transporte de Sinais áudio e/ou vídeo
são facilmente executáveis. A figura seguinte mostra um exemplo de sistema de 8
canais utilizando uma fibra óptica monomodal.

Figura 9- Configuração
ponto a ponto de um sistema de 8 canais bidireccional.
Por outro lado pode-se melhorar a fiabilidade do sistema devido a redundância usando interruptores ópticos. No exemplo seguinte, o interruptor tem na sua entrada dois caminhos possíveis. Quando um desses caminhos falha (diminuição para um valor menor que o valor limite de entrada), o interruptor escolhe o outro caminho. Assim evita-se a intervenção do operador do sistema.

Figura 10- Sistema
unidireccional com melhoria devido a redundância.
Ligação Ponto a ponto
Uma das preocupações das emissoras é o
de garantir na recepção a maior qualidade possível de áudio/vídeo. O facto da
fibra óptica ser imune às interferências de rádio-frequência
e electromagnéticas garante a não degradação dos sinais emitidos, melhorando a
qualidade na recepção. Por outro lado a maior largura de banda disponível com a
fibra óptica permite o aumento da distância das transmissões.

Figura 11- Transporte
ponto a ponto.
8-Outro
tipo de sistemas de comunicação óptica - Wireless ![]()
Geralmente associa-se a comunicação óptica com a comunicação com fibras
ópticas. No entanto pode-se instalar um sistema de comunicação óptica sem o
recurso a fibras ópticas. Baseando-se na tecnologia óptica de espaço livre FSO
(free space optics), estes sistemas (que se baseiam na DWDM) são
apetecíveis pois permitem que uma determinada rede de transmissão alcançe, virtualmente, um determinado destino final sem
recurso a escavações ou outro tipo de técnicas geralmente associadas quando se
emprega fibras ópticas. Outro aspecto importante também é o facto de na tranmissão no ar serem usadas espectros acima dos 300 Ghz que permanecem sem licença e portanto sem custo. No
entanto não deve ultrapassar o limite de radiação imposta pela IEC (International Electrotechnical Commission).
Temos como exemplo de utilização destes sistemas, o
acesso wireless de internet
nas universidades ou noutros estabelecimentos.
Tal como todos os sistemas de comunicação, este
também apresenta desvantagens. Neste caso temos como desvantagens, como o facto
destes sistemas não oferecerem o mesmo nível de segurança do que um sistema
baseado em fibras ópticas. Por exemplo há a possibilidade (embora remota) de um
outro receptor captar a transmissão wireless. Além
disso o fumo ou outras impurezas no ar poderem degradar a transmissão.Também
se prevê que estes sistemas (face ao limite de radiação imposto pela IEC) não
cheguem a atingir os ritmos de transmissão dos sistemas baseados em fibras
ópticas.
9-Vantagens
e desvantagens do uso de sistemas baseados em fibras ópticas![]()

Figura 12-Curvas atenuação vs
frequência nos tipos de linhas eléctricas mais populares e nas fibras ópticas.
Como se verifica, para
frequências acima de 5-10 MHz, nem o cabo coaxial consegue competir com a fibra
óptica em termos de atenuação.
Os sistemas baseados nas fibras ópticas apresentam
muitas vantagens face aos sistemas eléctricos, cujas as principais são:
-aumento significativo da largura de banda e
capacidade;
-atenuação do sinal baixa(chega
a 0,2 dB/km face aos 10-20 dB/km
num cabo coaxial de cobre);
-ligações com comprimento menor que 100 km não
necessitam de repetidores geralmente (~2-3km num cabo coaxial de cobre );
-imunidade face ao ruído de origem eléctrica;
-imune ao ruído (interferência electromagnética e de radio frequência);
-eliminação do "crosstalk"(indução electromagnética)
-erro de bit menor;
-segurança do sinal;
-não radia sinais(não provoca interferência nos
outros sistemas ópticos ou eléctricos);
-não requer um "ground"
comum;
-ausência de curto-circuitos e faíscas;
-reduzido tamanho e peso dos cabos;
-resistente à corrosão e radiação;
-resistente às variações de temperatura;
-custo "por canal" baixo devido a grande
largura de banda.
No entanto este sistema também apresenta
desvantagens. Devido ao facto de ser uma tecnologia mais recente as componentes
usadas, como transmissores e receptores, são ainda relativamente mais caras
comparando com que se usa nos sistemas eléctricos. Também a ainda falta de
estandardização na indústria têm limitado a aceitação destes sistemas. Muitas
indústrias estão confiantes no uso de sistemas eléctricos e mostram-se
relutantes na adopção de sistemas com fibras ópticas. No entanto esta
desvantagem tem vindo a diminuir. Outra desvantagem é a não linearidade
introduzida nestes sistemas e que aumenta com o aumento do ritmo de
transmissão, número de comprimentos de ondas e com os níveis de energia do
sistema. A não linearidade provém de dois mecanismos. O primeiro do facto do indíce de refracção depender da energia óptica que
atravessa o material , originando FWM (four wave mixing),
SPM (self-phase modulation),
XPM (cross phase modulation) e a intermodulação. O
outro mecanismo é o do fenómeno da dispersão que produz o SBS (stimulated
Brillouin scattering) e o
SRS (stimulated Raman scattering).
10-Perspectivas
futuras dos sistemas baseados em fibras ópticas![]()
A luz flui
como a electricidade, utlilizando sistemas WDM com
interruptores ópticos e routers, até ao destino
final. Consequentemente em cinco anos teremos redes ópticas de baixo custo
técnico e que permitirão ritmos de transmissão da ordem das dezenas ou mesmo
centenas de Gigabit/s(actualmente já existem
sistemas TDM (time division
multiplexing) e WDM com ritmos de transmissão entre
10 e 40Gbps).
Actualmente está a ser proposto aos físicos, cientistas ópticos ou
engenheiros eléctricos que desenvolvam novos métodos de amplificação, de
emissão de luz e
de transmissão a alta velocidade com baixo custo.
Na amplificação está-se a desenvolver a amplificação
baseando-se no efeito Raman e que amplificam sinais
dos 1300 nm até aos 1700 nm
ou seja na totalidade da banda óptica, em detrimento dos EDFA que pela sua
natureza de fabrico não amplificam abaixo dos 1520 nm.
Em relação às linhas de transmissão, estão a ser
desenvolvidas novas fibras monomodo para aumentar a
capacidade de transmissão por canal, e novas fibras multimodo
em plástico para a propagação a curta distância.
Prevê-se neste contexto uma transição de produtos
híbridos com fibras, lentes e chips discretas para produtos totalmente monolíticos que reunem
essas funções num só substracto. Prevê-se ainda que
esta indústria cresça
num futuro próximo(poucos anos) dado que se considera que os sistemas
concorrentes em sistemas de curta distância(LAN's)
usando cobre estejam actualmente a funcionar ao seu ritmo máximo de
transmissão(~1 Gigabit/s).
As fibras ópticas desempenham hoje um papel muito importante no panorama
das comunicações fixas, tendo reduzidos níveis de atenuação a elevadas
frequências.
As fibras ópticas são feitas de material dieléctrico ,
e constituídas por núcleo(onde se propaga a informação), bainha (que permite
com o feixe de luz se mantenha no núcleo) e um revestimento externo (que isola
a radiação portadora de informação no núcleo da radiação exterior).
As frequências de trabalho na fibra são condicionadas pelas frequências de
corte dos modos de propagação, existem fibras concebidas para funcionar em modo
único (monomodo), ou para serem usadas com vários
modos em simultâneo (multimodo). As primeiras são
mais utilizadas em relação às de multimodo porque não
apresentam dispersão intermodal e permitem ritmos de
transmissão maiores , no entanto são mais caras.
O reduzido valor de atenuação que chega ao limite de 0,2 dB/km face a 10-20 dB/km num cabo
coaxial de cobre, permite o uso de um número muito menor de repetidores em
ligações de longa distância face aos cabos coaxiais (1 em cada 100 km vs um em cada 3 km nos sistemas eléctricos). Este facto
juntamente com a progressiva redução dos custos de fabrico e implementação
deste tipo de sistemas faz com que provavelmente dominem completamente as
ligações de longa distância num futuro próximo.
Além disto, os novos sistemas de amplificação de luz a serem desenvolvidos,
entre os quais os amplificadores por efeito de Raman,
irão permitir explorar uma gama muito maior de comprimentos de onda
, 1300-1700 nm vs os 1530-1570 limitados pelos actuais
regeneradores/amplificadores EDFA. De qualquer modo, mesmo a tecnologia EDFA
existente permite o uso de elevadas frequências(larguras
de banda de THz), muito acima das praticadas nos
sistemas eléctricos, que se ficam na ordem das unidades de GHz.
12-Referências
bibliográficas: ![]()
http://www.espacoacademico.com.br/007/07mendes.htm
http://alfa.ist.utl.pt/~proer/sebenta/newseb.htm
http://electronics.howstuffworks.com/fiber-optic.htm
http://www.clubedohardware.com.br/fibras.html
http://www.arcelect.com/fibercable.htm
http://sts.scu.edu/education/techassess/AnalysisofWavelengthDivisionMultiplexing.htm
http://www.fiber-optics.info
http://apri.kjist.ac.kr/new_home/Eng/Research/commu_field.html
http://www.networkmagazine.com/article/NMG20010103S0004
http://www.tcomschool.ohiou.edu/its_pgs/fiber.html#anchor251207
http://www.tpub.com/neets/tm/105-4.htm
http://www.tiaonline.org